专利数据库
统计分析
产业报告
专利数据监控
产业人才
行业动态
产业政策法规
维权援助
个人中心
详情
文本
图像
标题
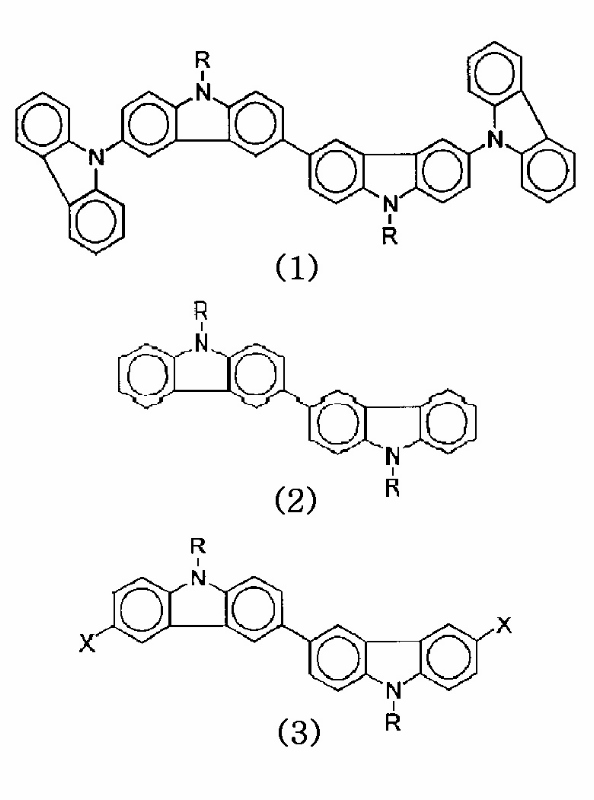
열안정성이 우수한 유기 전기발광 소자용 정공수송성화합물 및 그 제조방법
授权日
1900-01-01
公开(公告)号
KR1020010077773A
申请日
2000-02-08
公开(公告)日
2001-08-20
当前申请(专利权)人
삼성에스디아이 주식회사
发明人
이지훈 | 기인서 | 조성우 | 채병훈
简单同族
JP2001220380A | JP3335985B2 | KR100346984B1 | KR1020010077773A | US20010046612A1 | US6451461
简单同族成员数量
6
简单同族被引用专利总数
92
诉讼案件数
0
法律状态/事件
期限届满 | 权利转移
抱歉,您的浏览器不支持PDF预览,请点击链接下载PDF文件