专利数据库
统计分析
产业报告
专利数据监控
产业人才
行业动态
产业政策法规
维权援助
个人中心
详情
文本
图像
标题
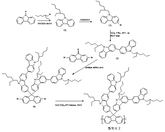
9,9-디(3,3'-바이카바질)-2,7-플루오레닐 단위 함유 유기전기발광고분자 및 이를 이용한 전기발광
授权日
2007-05-09
公开(公告)号
KR100718793B1
申请日
2003-12-30
公开(公告)日
2007-05-16
当前申请(专利权)人
에스케이 주식회사
发明人
유홍 | 최원중 | 신동철 | 진재규 | 권순기 | 김윤희
简单同族
KR100718793B1 | KR1020050068589A
简单同族成员数量
2
简单同族被引用专利总数
0
诉讼案件数
0
法律状态/事件
未缴年费 | 权利转移
抱歉,您的浏览器不支持PDF预览,请点击链接下载PDF文件