专利数据库
统计分析
产业报告
专利数据监控
产业人才
行业动态
产业政策法规
维权援助
个人中心
详情
文本
图像
标题
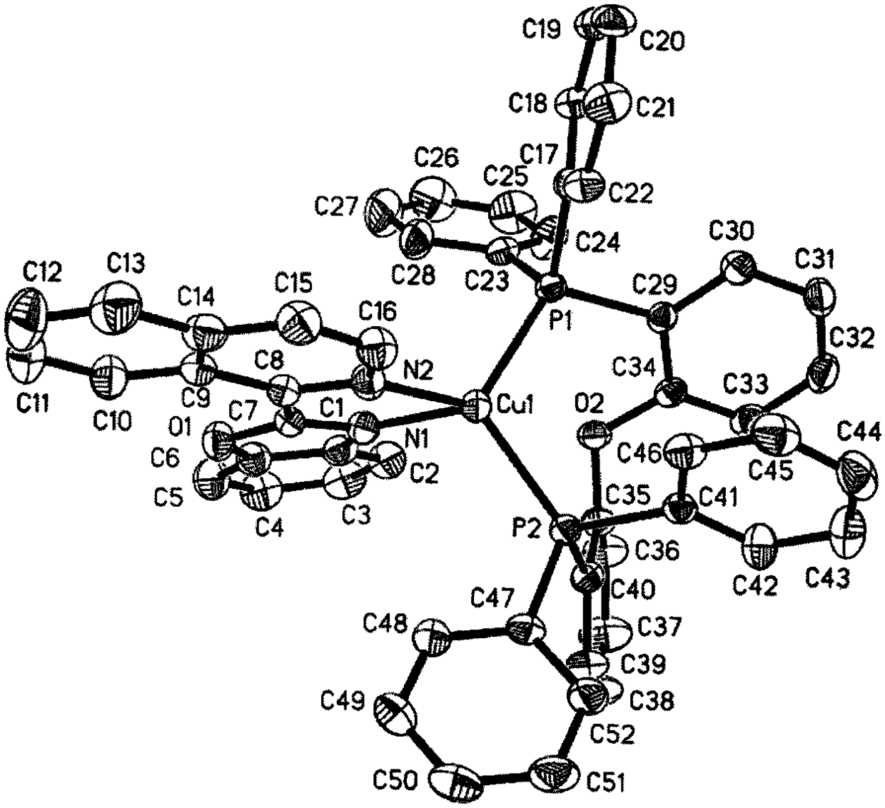
一种苯并噁唑基异喹啉亚铜配合物发光材料
授权日
1900-01-01
公开(公告)号
CN105733565A
申请日
2016-04-18
公开(公告)日
2016-07-06
当前申请(专利权)人
中国计量大学
发明人
柴文祥 | 陶晓栋 | 寿容儿 | 宋莉 | 朱秋梦 | 秦来顺 | 范美强 | 史宏声 | 郭驾宇 | 舒康颖
简单同族
CN105733565A | CN105733565B
简单同族成员数量
2
简单同族被引用专利总数
0
诉讼案件数
0
法律状态/事件
未缴年费
抱歉,您的浏览器不支持PDF预览,请点击链接下载PDF文件