首页
专利数据库
产业人才
行业动态
产业政策法规
维权援助
个人中心
登录/注册
详情
文本
图像
标题:
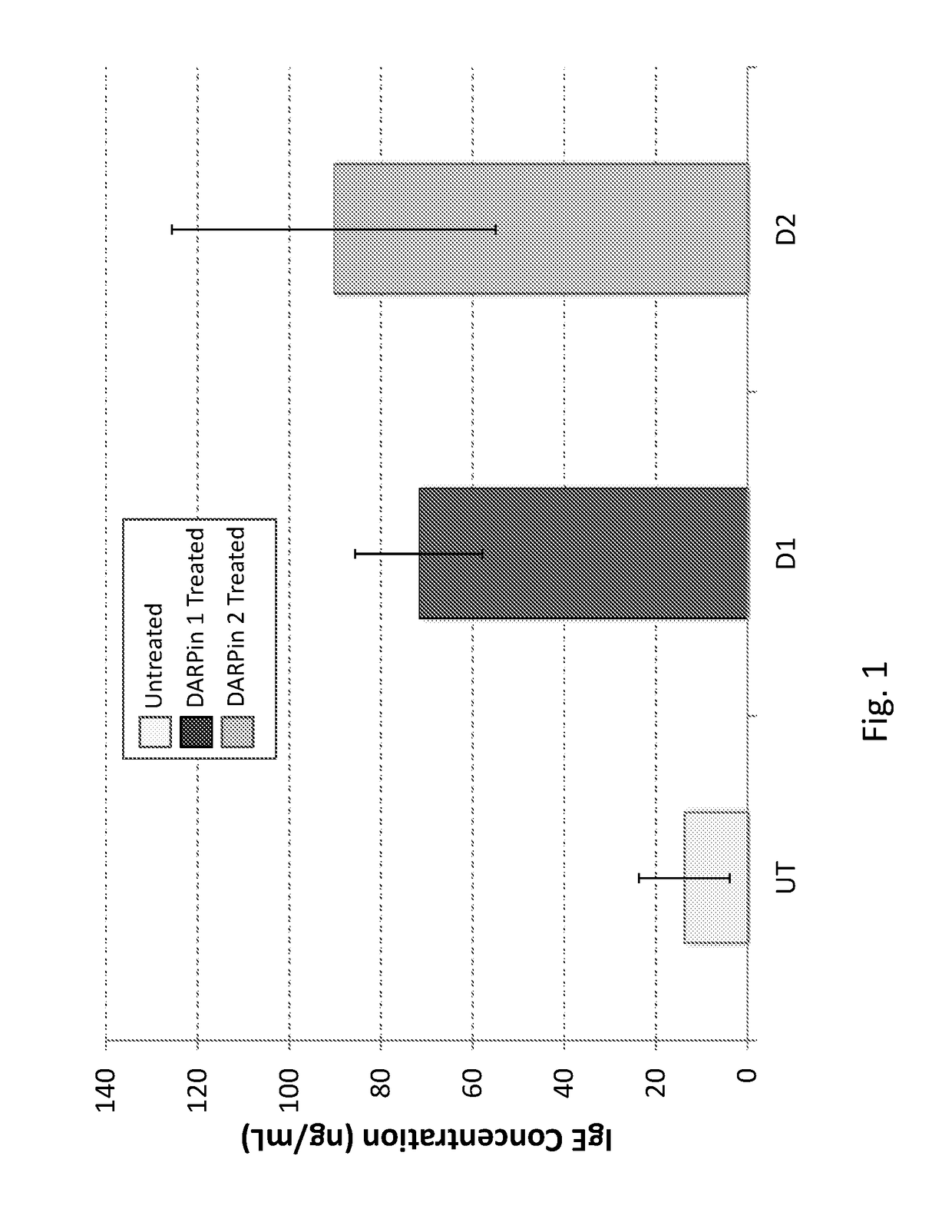
Methods for allergy diagnosis
授权日:
1900-01-01
公开(公告)号:
US20180011108A1
申请日:
2016-01-21
公开(公告)日:
2018-01-11
当前申请(专利权)人:
IMMUNOVENT, LLC
发明人:
CIRRITO, THOMAS P.
简单同族:
EP3248008A1 | EP3248008A4 | US20180011108A1 | WO2016118713A1
简单同族成员数量:
4
简单同族被引用专利总数:
0
诉讼案件数:
0
法律状态/事件:
实质审查