首页
专利数据库
产业人才
行业动态
产业政策法规
维权援助
个人中心
登录/注册
详情
文本
图像
标题:
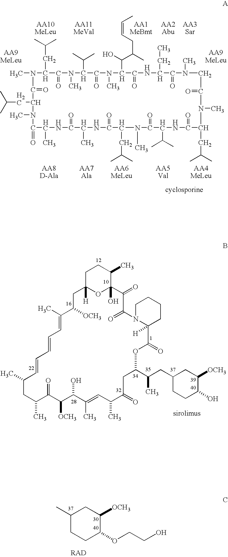
Immunosuppressant drug extraction reagent for immunoassays
授权日:
1900-01-01
公开(公告)号:
US20080020401A1
申请日:
2006-07-21
公开(公告)日:
2008-01-24
当前申请(专利权)人:
ABBOTT LABORATORIES
发明人:
GRENIER, FRANK C. | WORKMAN, RYAN F. | SYED, HINA | ALI, SALMAN
简单同族:
US20080020401A1 | US20110091997A1 | US7883855 | US8541554
简单同族成员数量:
4
简单同族被引用专利总数:
172
诉讼案件数:
0
法律状态/事件:
授权 | 权利转移