首页
专利数据库
产业人才
行业动态
产业政策法规
维权援助
个人中心
登录/注册
详情
文本
图像
标题:
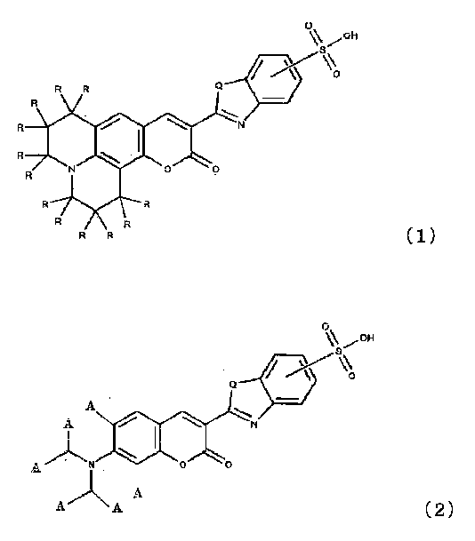
蛍光標識法
授权日:
1900-01-01
公开(公告)号:
JPWO2018151071A1
申请日:
2018-02-13
公开(公告)日:
2019-12-12
当前申请(专利权)人:
コニカミノルタ株式会社
发明人:
西川 賢司 | 高梨 健作 | 磯田 武寿
简单同族:
JPWO2018151071A1 | WO2018151071A1
简单同族成员数量:
2
简单同族被引用专利总数:
0
诉讼案件数:
0
法律状态/事件:
公开