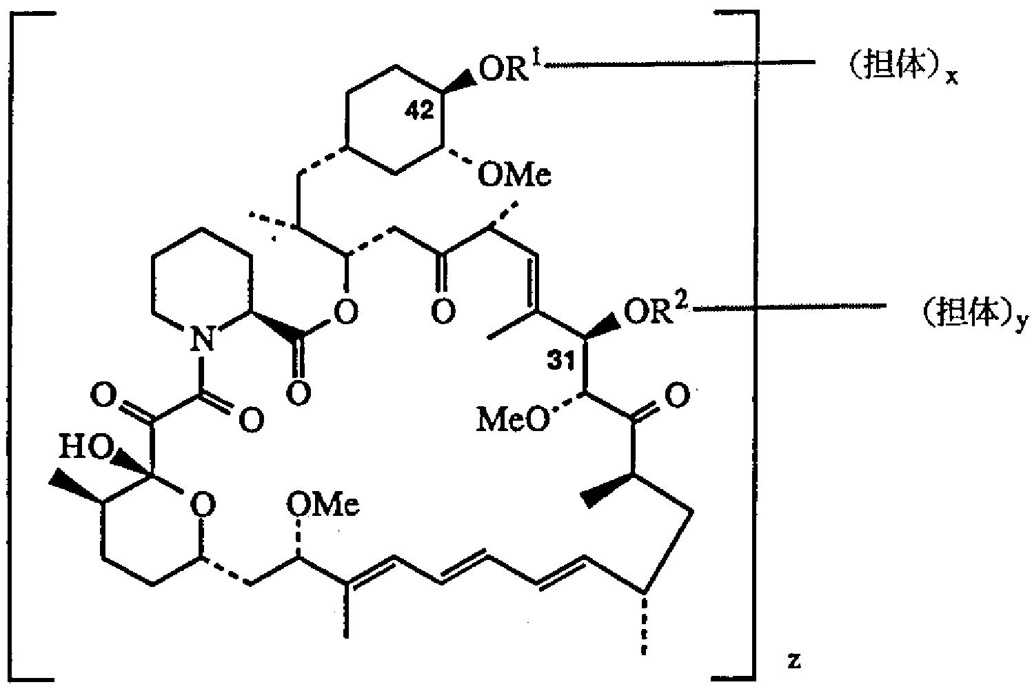
标题:
ラパマイシン結合体及び抗体
授权日:
1900-01-01
公开(公告)号:
JP2004149542A
申请日:
2003-12-10
公开(公告)日:
2004-05-27
当前申请(专利权)人:
ワイス
发明人:
エドウアルド·ゴンザレス | ジヨン·シー·ラツセル | キヤサリン·エル·モルナー-キンバー
简单同族:
AU1994067720A1 | AU686629B | CA2161101A1 | DE69430060D1 | DE69430060T2 | DE69435044D1 | DE69435044T2 | EP0710110A1 | EP0710110A4 | EP0710110B1 | EP1181938A2 | EP1181938A3 | EP1181938B1 | ES2176245T3 | ES2295093T3 | JP1996509499A | JP2004149542A | JP2004168782A | US20010010920A1 | US6328970 | US6541612 | WO1994025022A1
简单同族成员数量:
22
简单同族被引用专利总数:
184
诉讼案件数:
0
法律状态/事件:
驳回