首页
专利数据库
产业人才
行业动态
产业政策法规
维权援助
个人中心
登录/注册
详情
文本
图像
标题:
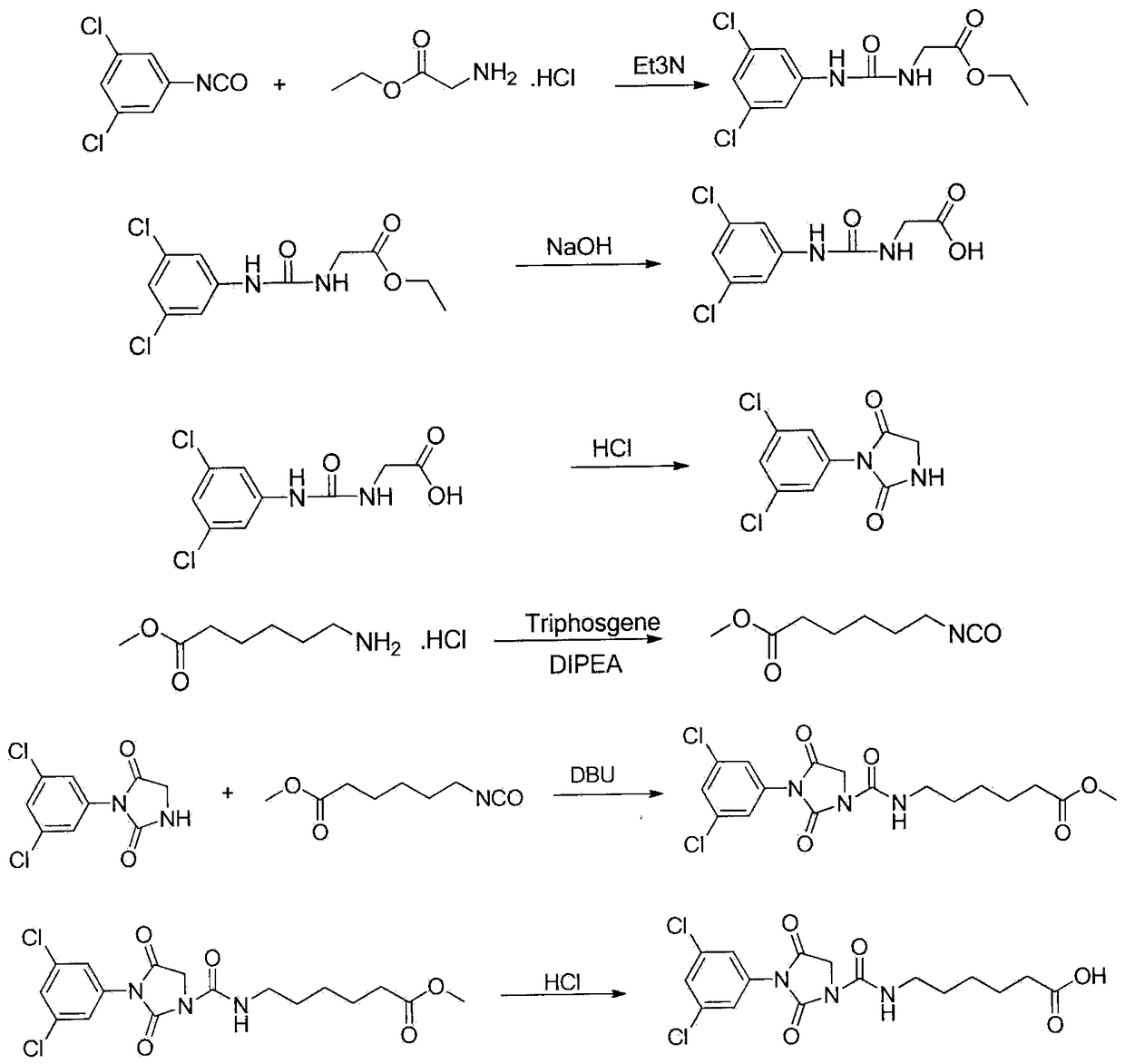
一种异菌脲半抗原与抗原的制备方法及应用
授权日:
1900-01-01
公开(公告)号:
CN109265401A
申请日:
2018-09-21
公开(公告)日:
2019-01-25
当前申请(专利权)人:
中国烟草总公司郑州烟草研究院 | 国家烟草质量监督检验中心 | 北京勤邦生物技术有限公司
发明人:
陈黎 | 范子彦 | 刘惠民 | 唐纲岭 | 樊美娟 | 崔华鹏 | 颜权平 | 万宇平 | 申梁 | 吴小胜
简单同族:
CN109265401A
简单同族成员数量:
1
简单同族被引用专利总数:
0
诉讼案件数:
0
法律状态/事件:
实质审查