首页
专利数据库
产业人才
行业动态
产业政策法规
维权援助
个人中心
登录/注册
详情
文本
图像
标题:
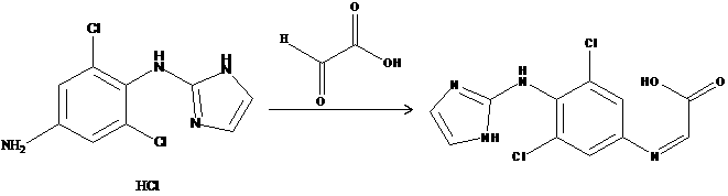
可乐定半抗原、抗原及其制备方法和应用
授权日:
1900-01-01
公开(公告)号:
CN104788383A
申请日:
2014-01-17
公开(公告)日:
2015-07-22
当前申请(专利权)人:
北京维德维康生物技术有限公司
发明人:
王世恩 | 江海洋 | 温凯 | 吴小平 | 张桂亮 | 金兴 | 杨艳红 | 成芳 | 沈星辰 | 邢佑尚 | 许舒婷 | 姚琳
简单同族:
CN104788383A | CN104788383B
简单同族成员数量:
2
简单同族被引用专利总数:
0
诉讼案件数:
0
法律状态/事件:
授权