首页
专利数据库
产业人才
行业动态
产业政策法规
维权援助
个人中心
登录/注册
详情
文本
图像
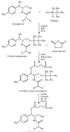
标题:
一种氯霉素半抗原及其制备方法和应用
授权日:
1900-01-01
公开(公告)号:
CN106866454A
申请日:
2017-02-27
公开(公告)日:
2017-06-20
当前申请(专利权)人:
海南大学
发明人:
赵洪伟 | 阮孙兰 | 刁晓平
简单同族:
CN106866454A
简单同族成员数量:
1
简单同族被引用专利总数:
0
诉讼案件数:
0
法律状态/事件:
实质审查