首页
专利数据库
产业人才
行业动态
产业政策法规
维权援助
个人中心
登录/注册
详情
文本
图像
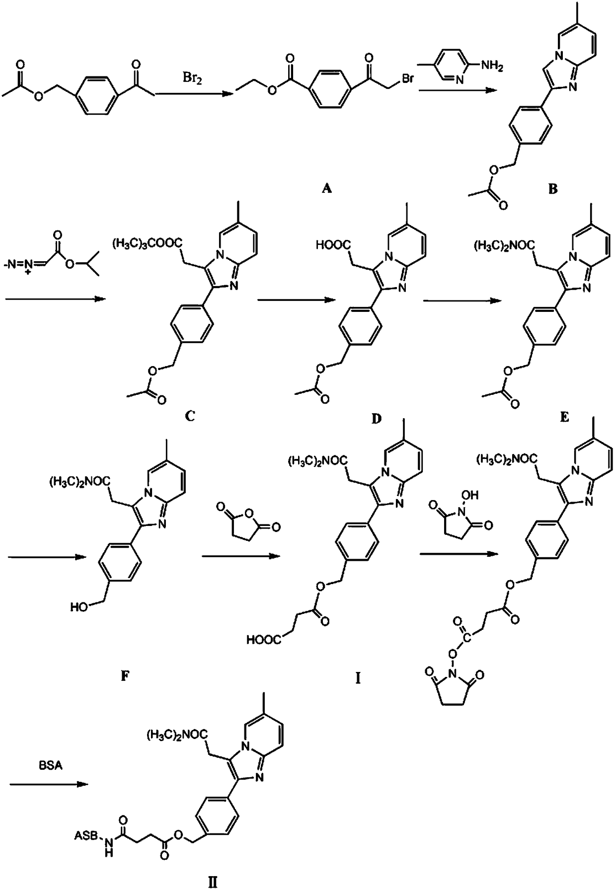
标题:
一种唑吡坦人工半抗原、人工抗原及其制备方法和应用
授权日:
1900-01-01
公开(公告)号:
CN108017631A
申请日:
2017-10-26
公开(公告)日:
2018-05-11
当前申请(专利权)人:
杭州同舟生物技术有限公司
发明人:
邵越水 | 王镇 | 高飞
简单同族:
CN108017631A | CN108017631B
简单同族成员数量:
2
简单同族被引用专利总数:
0
诉讼案件数:
0
法律状态/事件:
授权