首页
专利数据库
产业人才
行业动态
产业政策法规
维权援助
个人中心
登录/注册
详情
文本
图像
标题:
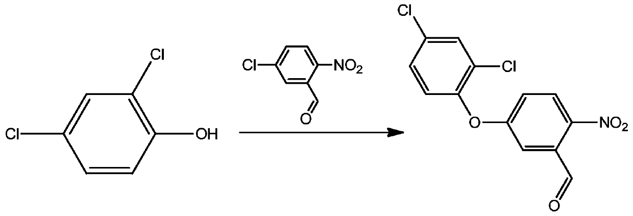
除草醚半抗原、人工抗原和抗体及其制备方法和应用
授权日:
1900-01-01
公开(公告)号:
CN110590561A
申请日:
2019-08-26
公开(公告)日:
2019-12-20
当前申请(专利权)人:
北京勤邦生物技术有限公司
发明人:
吴小胜 | 崔海峰 | 万宇平 | 马玉华 | 朱亮亮 | 王喜平 | 王兆芹 | 杨春艳 | 丛倩千
简单同族:
CN110590561A
简单同族成员数量:
1
简单同族被引用专利总数:
0
诉讼案件数:
0
法律状态/事件:
公开