首页
专利数据库
产业人才
行业动态
产业政策法规
维权援助
个人中心
登录/注册
详情
文本
图像
标题:
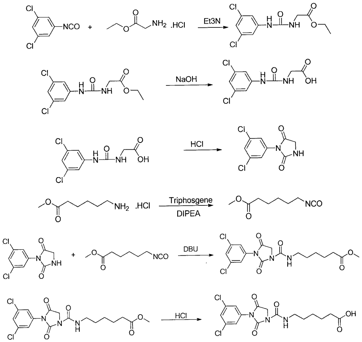
一种检测异菌脲的时间分辨荧光免疫层析试纸条及其制备方法和应用
授权日:
1900-01-01
公开(公告)号:
CN109061153A
申请日:
2018-09-21
公开(公告)日:
2018-12-21
当前申请(专利权)人:
中国烟草总公司郑州烟草研究院 | 国家烟草质量监督检验中心
发明人:
陈黎 | 范子彦 | 刘惠民 | 唐纲岭 | 崔华鹏 | 樊美娟 | 赵乐 | 王晓瑜 | 秦亚琼 | 王洪波
简单同族:
CN109061153A
简单同族成员数量:
1
简单同族被引用专利总数:
0
诉讼案件数:
0
法律状态/事件:
实质审查