首页
专利数据库
产业人才
行业动态
产业政策法规
维权援助
个人中心
登录/注册
详情
文本
图像
标题:
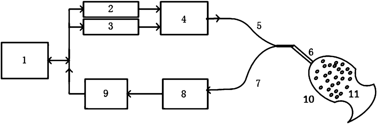
基于激光光谱技术的人体股骨头病变早期诊断设备及其操作方法
授权日:
1900-01-01
公开(公告)号:
CN106175684A
申请日:
2016-07-13
公开(公告)日:
2016-12-07
当前申请(专利权)人:
华南师范大学
发明人:
苏尼·斯万伯格 | 林惠莺 | 李宛莎 | 陈鹏 | 张浩 | 卡塔琳娜·斯万伯格
简单同族:
CN106175684A | CN106175684B
简单同族成员数量:
2
简单同族被引用专利总数:
0
诉讼案件数:
0
法律状态/事件:
授权