首页
专利数据库
产业人才
行业动态
产业政策法规
维权援助
个人中心
登录/注册
详情
文本
图像
标题:
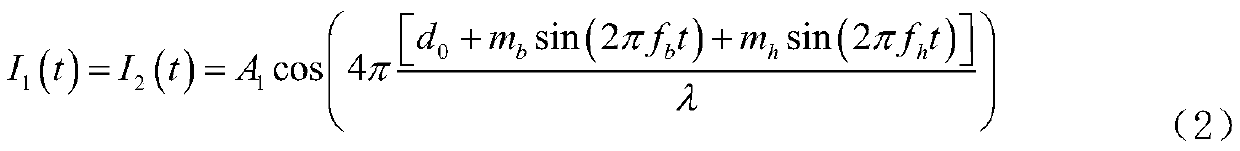
基于太赫兹多普勒雷达的远距离生命微动信号检测方法
授权日:
1900-01-01
公开(公告)号:
CN109805931A
申请日:
2019-02-18
公开(公告)日:
2019-05-28
当前申请(专利权)人:
中电科仪器仪表有限公司
发明人:
梁晓林 | 邓建钦 | 王沫 | 朱翔
简单同族:
CN109805931A
简单同族成员数量:
1
简单同族被引用专利总数:
0
诉讼案件数:
0
法律状态/事件:
实质审查