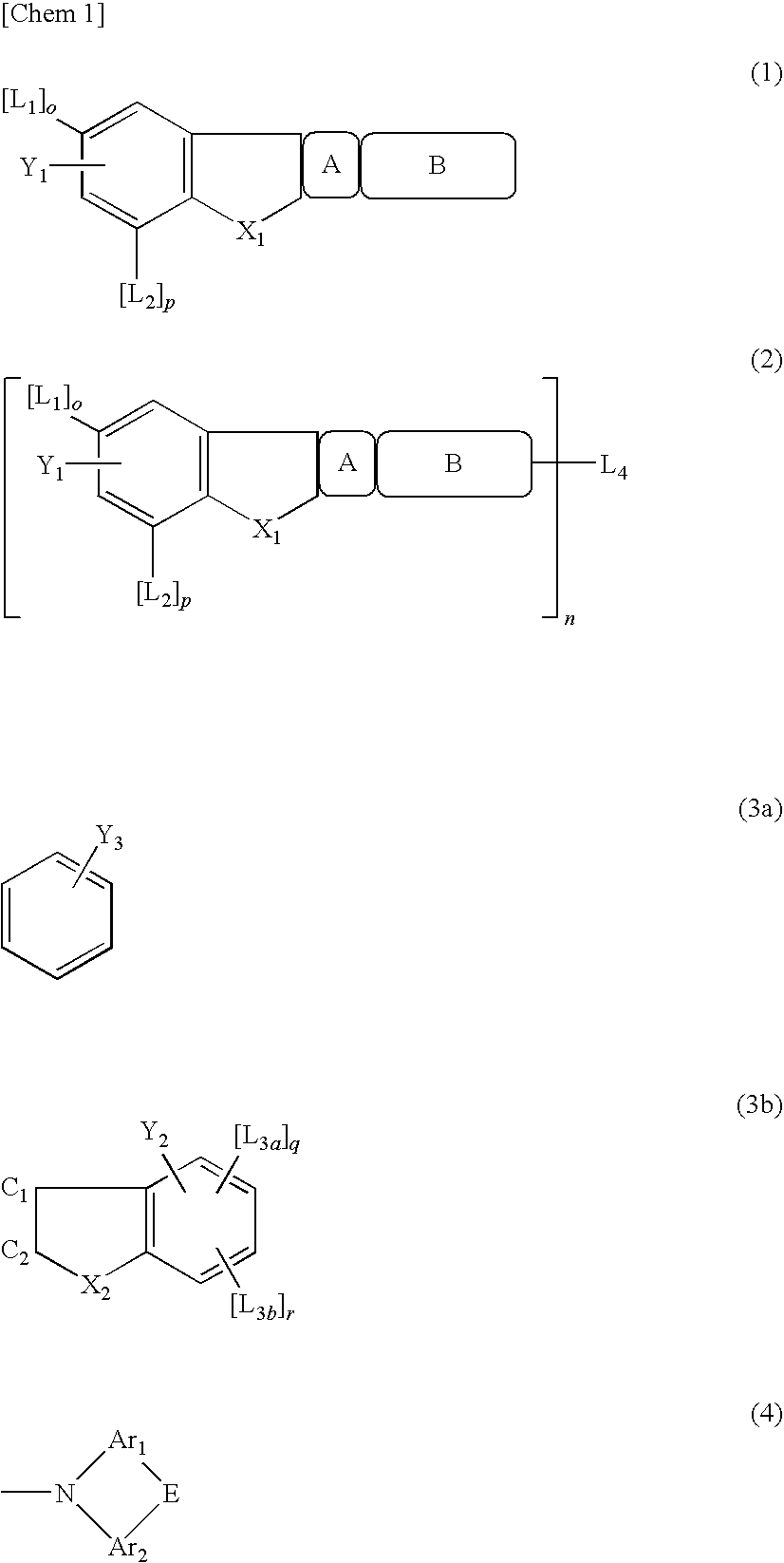
标题:
Polycyclic compounds and organic electroluminescence device employing the same
授权日:
2012-11-27
公开(公告)号:
US8318323
申请日:
2009-09-02
公开(公告)日:
2012-11-27
当前申请(专利权)人:
IDEMITSU KOSAN CO., LTD.
发明人:
KATO, TOMOKI | NUMATA, MASAKI | NISHIMURA, KAZUKI | IWAKUMA, TOSHIHIRO | HOSOKAWA, CHISHIO | YOSHIDA, KEI
简单同族:
US20100012931A1 | US20130020563A1 | US8318323
简单同族成员数量:
3
简单同族被引用专利总数:
273
诉讼案件数:
0
法律状态/事件:
授权 | 权利转移