首页
专利数据库
产业人才
行业动态
产业政策法规
维权援助
个人中心
登录/注册
详情
文本
图像
标题:
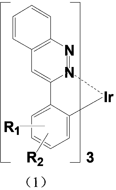
一种红光有机电致磷光材料铱金属配合物及其制备方法和有机电致发光器件
授权日:
1900-01-01
公开(公告)号:
CN104140807A
申请日:
2013-05-09
公开(公告)日:
2014-11-12
当前申请(专利权)人:
海洋王照明科技股份有限公司 | 深圳市海洋王照明技术有限公司 | 深圳市海洋王照明工程有限公司
发明人:
周明杰 | 王平 | 张娟娟 | 冯小明
简单同族:
CN104140807A
简单同族成员数量:
1
简单同族被引用专利总数:
0
诉讼案件数:
0
法律状态/事件:
撤回