首页
专利数据库
产业人才
行业动态
产业政策法规
维权援助
个人中心
登录/注册
详情
文本
图像
标题:
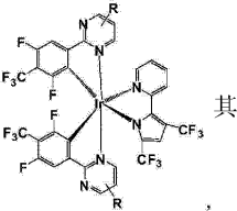
一种蓝光有机电致磷光材料及其制备方法和有机电致发光器件
授权日:
1900-01-01
公开(公告)号:
CN104419413A
申请日:
2013-09-03
公开(公告)日:
2015-03-18
当前申请(专利权)人:
海洋王照明科技股份有限公司 | 深圳市海洋王照明技术有限公司 | 深圳市海洋王照明工程有限公司
发明人:
周明杰 | 王平 | 张娟娟 | 张振华
简单同族:
CN104419413A
简单同族成员数量:
1
简单同族被引用专利总数:
0
诉讼案件数:
0
法律状态/事件:
撤回