首页
专利数据库
产业人才
行业动态
产业政策法规
维权援助
个人中心
登录/注册
详情
文本
图像
标题:
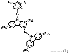
新有机电致发光化合物和包含该化合物的有机电致发光器件
授权日:
1900-01-01
公开(公告)号:
CN104271702A
申请日:
2013-05-02
公开(公告)日:
2015-01-07
当前申请(专利权)人:
罗门哈斯电子材料韩国有限公司
发明人:
梁绶晋 | 姜熙龙 | 李仙优 | 梁正恩 | 全志松 | 慎孝壬 | 罗弘烨 | 李暻周 | 赵英俊 | 权赫柱 | 金奉玉
简单同族:
CN104271702A | KR1020140096182A | TW201350477A | US20150126736A1 | WO2013165192A1
简单同族成员数量:
5
简单同族被引用专利总数:
56
诉讼案件数:
0
法律状态/事件:
撤回