专利数据库
统计分析
产业报告
专利数据监控
产业人才
行业动态
产业政策法规
维权援助
个人中心
详情
文本
图像
标题
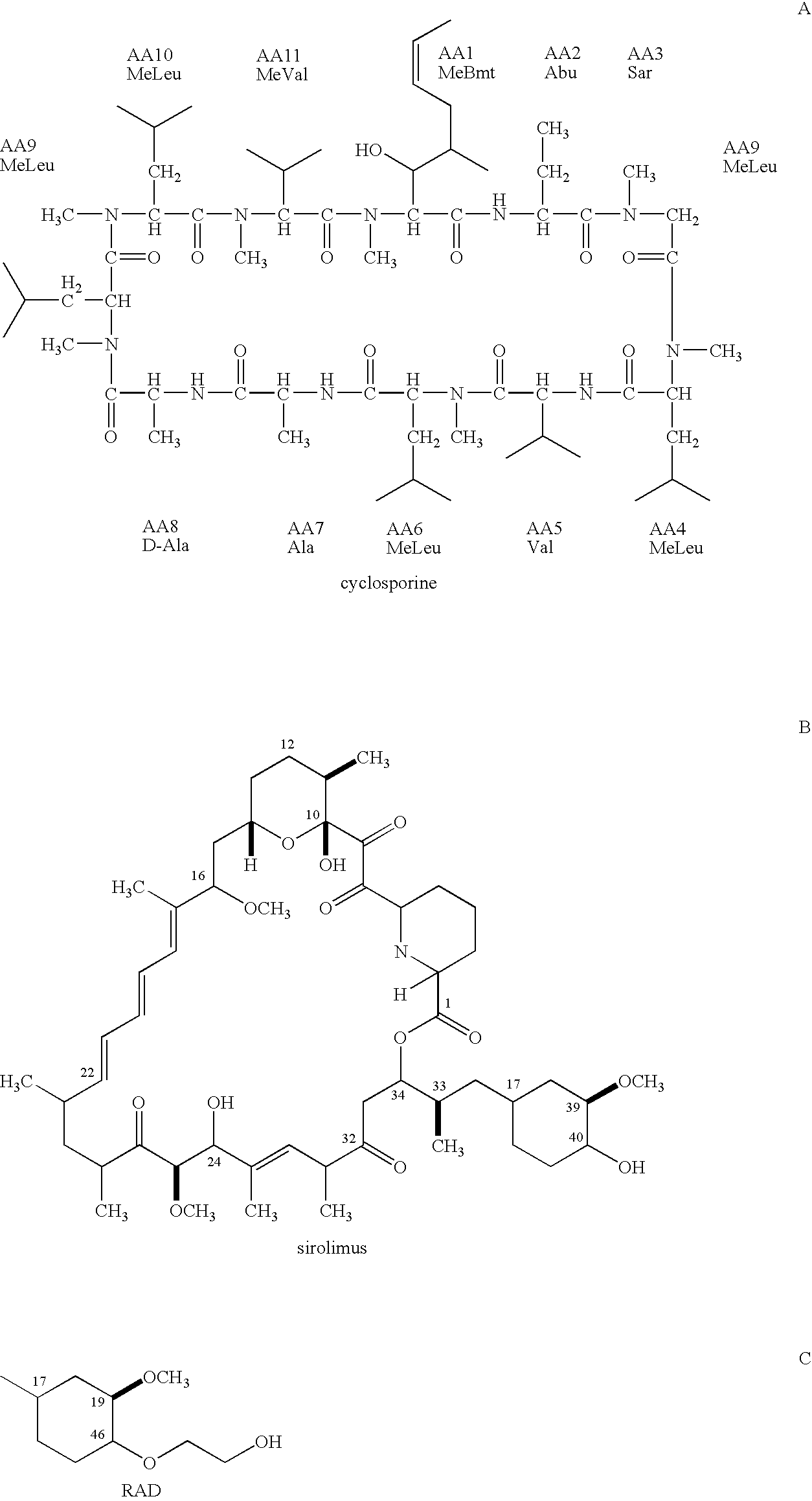
Assay for immunosuppressant drugs
授权日
2012-03-06
公开(公告)号
US8129127
申请日
2009-06-25
公开(公告)日
2012-03-06
当前申请(专利权)人
ABBOTT LABORATORIES
发明人
DRENGLER, SUSAN M. | BAUGHER, BENNETT WADE
简单同族
CA2673296A1 | CA2673296C | EP2118656A1 | EP2118656A4 | EP2118656B1 | ES2393135T3 | JP2010515064A | JP4968611B2 | US20090325197A1 | US20120156805A1 | US8129127 | US8404452 | WO2008082982A1
简单同族成员数量
13
简单同族被引用专利总数
36
诉讼案件数
0
法律状态/事件
授权 | 权利转移
抱歉,您的浏览器不支持PDF预览,请点击链接下载PDF文件