专利数据库
统计分析
产业报告
专利数据监控
产业人才
行业动态
产业政策法规
维权援助
个人中心
详情
文本
图像
标题
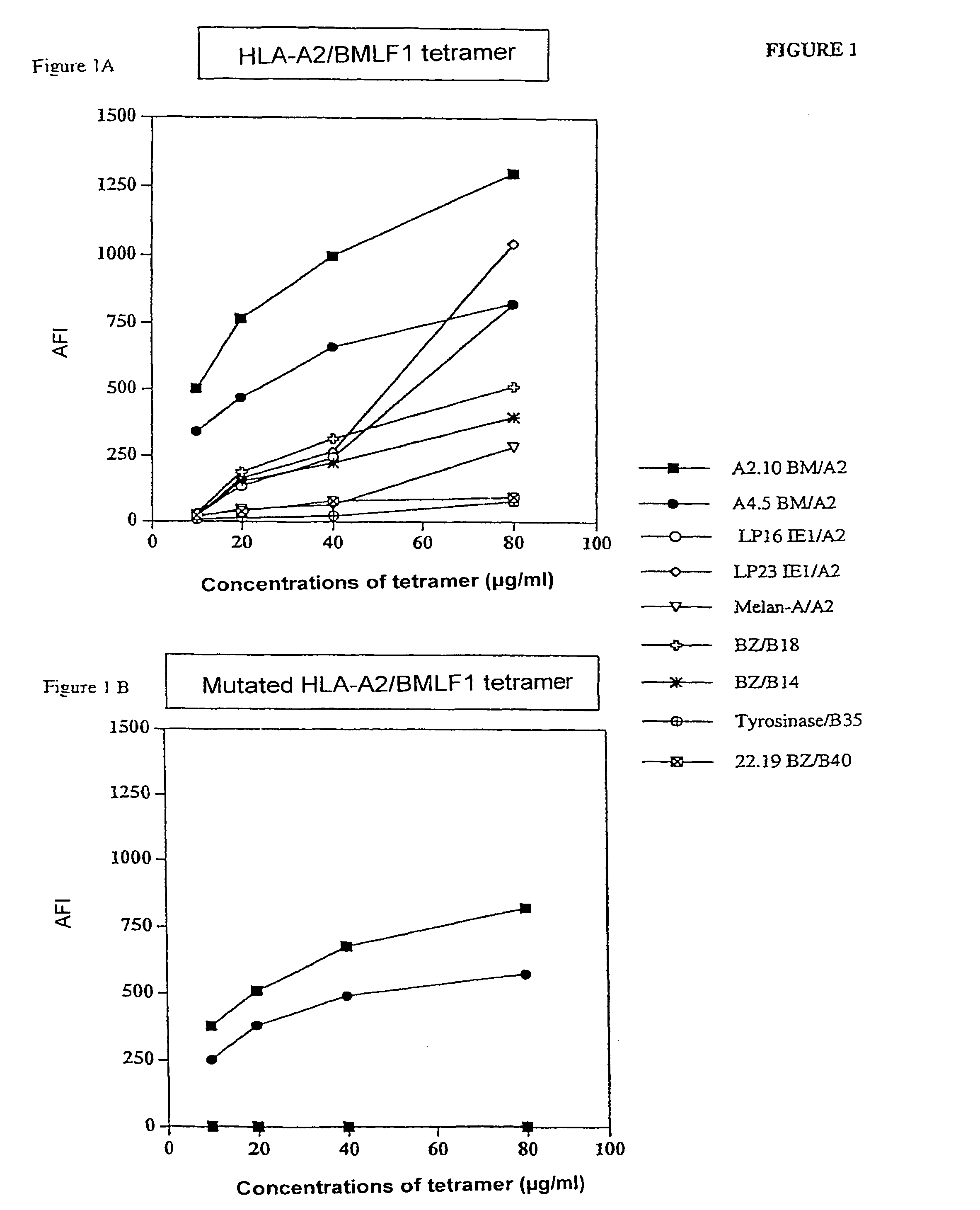
Means for detection and purification of CD8+ T lymphocyte populations specific to peptides presented in the context of HLA
授权日
2012-11-13
公开(公告)号
US8309312
申请日
2009-10-01
公开(公告)日
2012-11-13
当前申请(专利权)人
INSTITUT NATIONAL DE LA SANTE ET DE LA RECHERCHE
发明人
LANG, FRANCOIS | BODINIER, MARIE | DAVODEAU, FRANCOIS | BONNEVILLE, MARC
简单同族
US20040209314A1 | US20100105077A1 | US8309312
简单同族成员数量
3
简单同族被引用专利总数
37
诉讼案件数
0
法律状态/事件
授权
抱歉,您的浏览器不支持PDF预览,请点击链接下载PDF文件