专利数据库
统计分析
产业报告
专利数据监控
产业人才
行业动态
产业政策法规
维权援助
个人中心
详情
文本
图像
标题
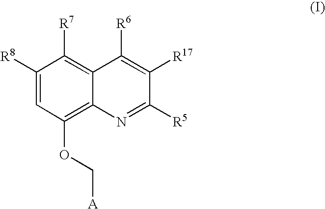
8-oxy-quinoline derivatives as bradykinin b2 receptor modulators
授权日
1900-01-01
公开(公告)号
US20100234344A1
申请日
2008-03-22
公开(公告)日
2010-09-16
当前申请(专利权)人
SHIRE ORPHAN THERAPIES GMBH
发明人
GIBSON, CHRISTOPH | TRADLER, THOMAS | SCHINATBAUM, KARSTEN | PFEIFER, JOCHEN | LOCARDI, ELSA | SCHARN, DIRK | PASCHKE, MATHIAS | REIMER, ULF | RICHTER, UWE | HUMMEL, GERD | REINEKE, ULRICH
简单同族
AR065844A1 | AT485289T | AU2008232021A1 | AU2008232021B2 | BRPI0809231A2 | CA2681206A1 | CA2681206C | CN101679375A | DE602008003116D1 | DK2144897T3 | EP2144897A1 | EP2144897B1 | EP2305668A1 | ES2356197T3 | HK1138844A | IL200922D0 | KR1020090125779A | MX2009010246A | PL2144897T3 | RU2009139087A | RU2512541C2 | TW200843767A | TWI407960B | US20100234344A1 | US8410134 | WO2008116620A1 | ZA200906307B
简单同族成员数量
27
简单同族被引用专利总数
42
诉讼案件数
0
法律状态/事件
未缴年费 | 权利转移
抱歉,您的浏览器不支持PDF预览,请点击链接下载PDF文件