专利数据库
统计分析
产业报告
专利数据监控
产业人才
行业动态
产业政策法规
维权援助
个人中心
详情
文本
图像
标题
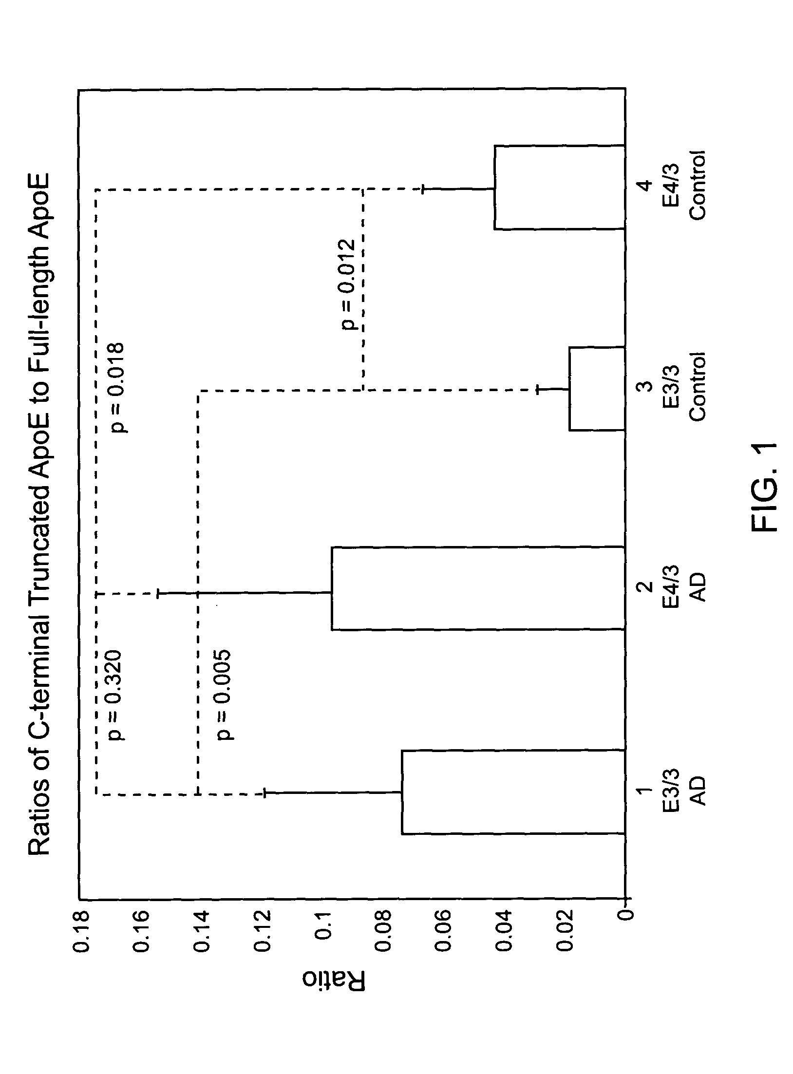
Method of diagnosing Alzheimer's Disease
授权日
1900-01-01
公开(公告)号
US20040157267A1
申请日
2003-07-24
公开(公告)日
2004-08-12
当前申请(专利权)人
J. DAVID GLADSTONE INSTITUTES, THE
发明人
HUANG, YADONG
简单同族
AT422671T | AU2003259222A1 | DE60326153D1 | EP1543331A1 | EP1543331A4 | EP1543331B1 | US20040157267A1 | US7682795 | WO2004011943A1
简单同族成员数量
9
简单同族被引用专利总数
34
诉讼案件数
0
法律状态/事件
授权 | 权利转移
抱歉,您的浏览器不支持PDF预览,请点击链接下载PDF文件