专利数据库
统计分析
产业报告
专利数据监控
产业人才
行业动态
产业政策法规
维权援助
个人中心
详情
文本
图像
标题
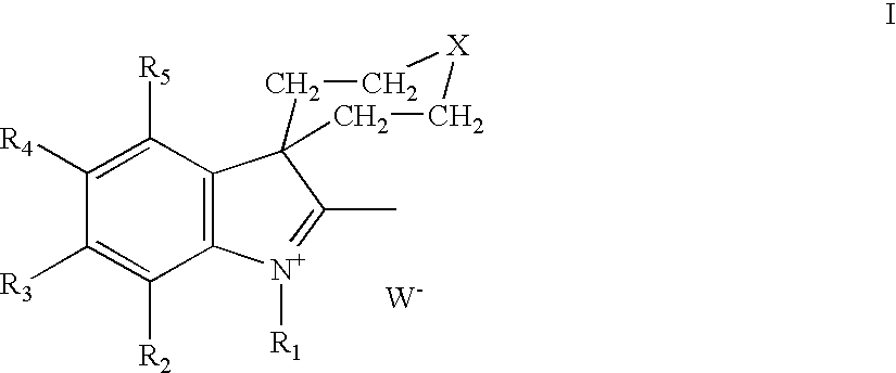
3-Spiro-cyanin fluorochromes and their use in bioassays
授权日
1900-01-01
公开(公告)号
US20030138791A1
申请日
2001-09-03
公开(公告)日
2003-07-24
当前申请(专利权)人
HAALCK LUTZ | GEDIG ERK | HOELPERT HANS-JUERGEN | PODSADLOWSKI VIOLA
发明人
HAALCK, LUTZ | GEDIG, ERK | HOELPERT, HANS-JUERGEN | PODSADLOWSKI, VIOLA
简单同族
AU2001284051A1 | CA2422758A1 | DE10046215A1 | DE10046215B4 | DE50113301D1 | EP1320571A1 | EP1320571B1 | US20030138791A1 | US7855293 | WO2002026890A1
简单同族成员数量
10
简单同族被引用专利总数
47
诉讼案件数
0
法律状态/事件
授权
抱歉,您的浏览器不支持PDF预览,请点击链接下载PDF文件