专利数据库
统计分析
产业报告
专利数据监控
产业人才
行业动态
产业政策法规
维权援助
个人中心
详情
文本
图像
标题
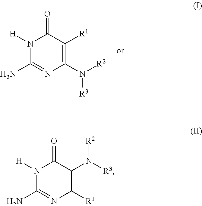
Methods for treating pain
授权日
1900-01-01
公开(公告)号
US20110207753A1
申请日
2011-02-17
公开(公告)日
2011-08-25
当前申请(专利权)人
THE GENERAL HOSPITAL CORPORATION
发明人
WOOLF, CLIFFORD J. | COSTIGAN, MICHAEL | GRIFFIN, ROBERT | TEGEDER, IRMGARD
简单同族
AU2004291082A1 | AU2004291082A2 | CA2543315A1 | EP1696877A2 | EP1696877A4 | JP2007511520A | US20050197341A1 | US20110207753A1 | US20130210826A1 | US7906520 | WO2005048926A2 | WO2005048926A3
简单同族成员数量
12
简单同族被引用专利总数
67
诉讼案件数
0
法律状态/事件
撤回 | 许可
抱歉,您的浏览器不支持PDF预览,请点击链接下载PDF文件