专利数据库
统计分析
产业报告
专利数据监控
产业人才
行业动态
产业政策法规
维权援助
个人中心
详情
文本
图像
标题
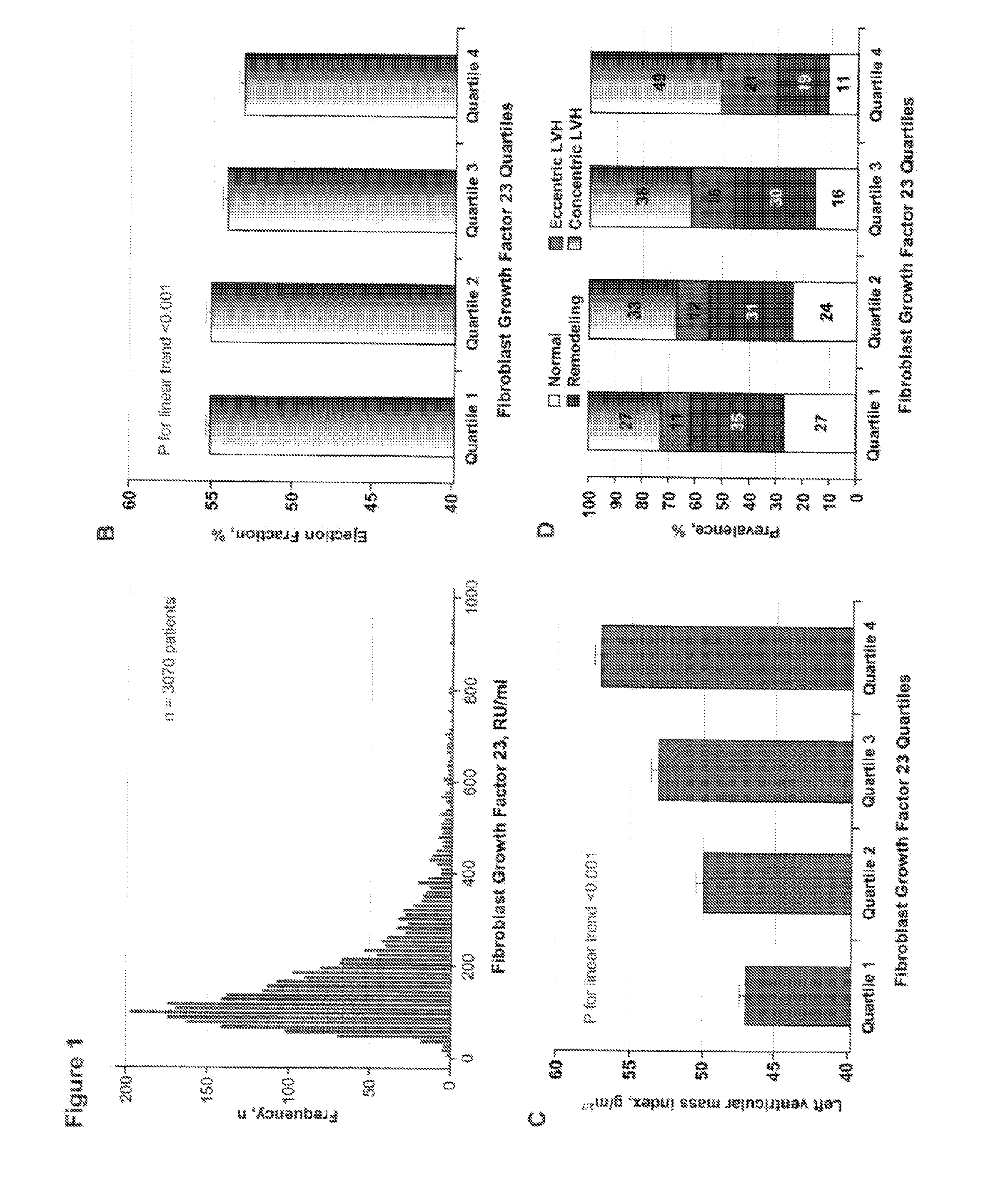
Fibroblast growth factor receptor inhibition for the treatment of disease
授权日
1900-01-01
公开(公告)号
US20140294820A1
申请日
2012-06-14
公开(公告)日
2014-10-02
当前申请(专利权)人
UNIVERSITY OF MIAMI
发明人
FAUL, CHRISTIAN | WOLF, MYLES
简单同族
EP2723391A2 | EP2723391A4 | EP2723391B1 | US20140294820A1 | WO2012177481A2 | WO2012177481A3
简单同族成员数量
6
简单同族被引用专利总数
30
诉讼案件数
0
法律状态/事件
撤回 | 权利转移
抱歉,您的浏览器不支持PDF预览,请点击链接下载PDF文件