专利数据库
统计分析
产业报告
专利数据监控
产业人才
行业动态
产业政策法规
维权援助
个人中心
详情
文本
图像
标题
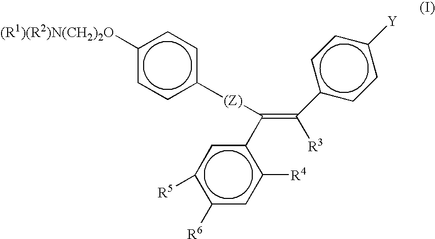
Prevention and treatment of cardiovascular pathologies
授权日
1900-01-01
公开(公告)号
US20060029986A1
申请日
2005-09-20
公开(公告)日
2006-02-09
当前申请(专利权)人
PONIARD PHARMACEUTICALS, INC.
发明人
GRAINGER, DAVID J. | KEMP, PAUL R.
简单同族
US20020182659A1 | US20060029986A1 | US6395494 | US7094550
简单同族成员数量
4
简单同族被引用专利总数
44
诉讼案件数
0
法律状态/事件
撤回 | 权利转移
抱歉,您的浏览器不支持PDF预览,请点击链接下载PDF文件