专利数据库
统计分析
产业报告
专利数据监控
产业人才
行业动态
产业政策法规
维权援助
个人中心
详情
文本
图像
标题
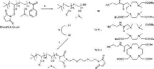
Polymer backbone element tags
授权日
2015-04-21
公开(公告)号
US9012239
申请日
2007-05-28
公开(公告)日
2015-04-21
当前申请(专利权)人
FLUIDIGM CANADA INC.
发明人
WINNIK, MITCHELL A. | NITZ, MARK | BARANOV, VLADIMIR | LOU, XUDONG
简单同族
CA2653408A1 | CA2653408C | CN101495867A | CN101495867B | CN107573445A | DK2444804T3 | EP2021793A1 | EP2021793A4 | EP2021793B1 | EP2444804A2 | EP2444804A3 | EP2444804B1 | EP2960263A1 | EP2960263B1 | EP3260863A1 | ES2553141T3 | HK1248739A | PT2444804E | US10072104 | US10669358 | US20080003616A1 | US20150183895A1 | US20160025731A1 | US20190077890A1 | US20190345272A1 | US9012239 | US9296838 | WO2007137418A1
简单同族成员数量
28
简单同族被引用专利总数
41
诉讼案件数
0
法律状态/事件
授权 | 权利转移
抱歉,您的浏览器不支持PDF预览,请点击链接下载PDF文件