专利数据库
统计分析
产业报告
专利数据监控
产业人才
行业动态
产业政策法规
维权援助
个人中心
详情
文本
图像
标题
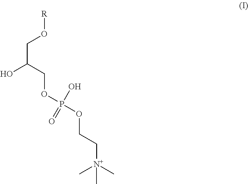
Detection of lysophosphatidylcholine for prognosis or diagnosis of a systemic inflammatory condition
授权日
1900-01-01
公开(公告)号
US20120301910A1
申请日
2012-04-18
公开(公告)日
2012-11-29
当前申请(专利权)人
BECTON, DICKINSON AND COMPANY
发明人
SHI, SONG | GENTLE, THOMAS | MOORE, RICHARD
简单同族
AT507720T | AU2006294481A1 | AU2006294481B2 | BRPI0616720A2 | CA2623523A1 | CA2623523C | DE602006021768D1 | EP1940231A2 | EP1940231A4 | EP1940231B1 | JP2009510450A | JP2009510450A5 | JP5183480B2 | KR101281298B1 | KR1020080068824A | US20070111316A1 | US20120301910A1 | US8183050 | WO2007038758A2 | WO2007038758A3
简单同族成员数量
20
简单同族被引用专利总数
43
诉讼案件数
0
法律状态/事件
撤回
抱歉,您的浏览器不支持PDF预览,请点击链接下载PDF文件