专利数据库
统计分析
产业报告
专利数据监控
产业人才
行业动态
产业政策法规
维权援助
个人中心
详情
文本
图像
标题
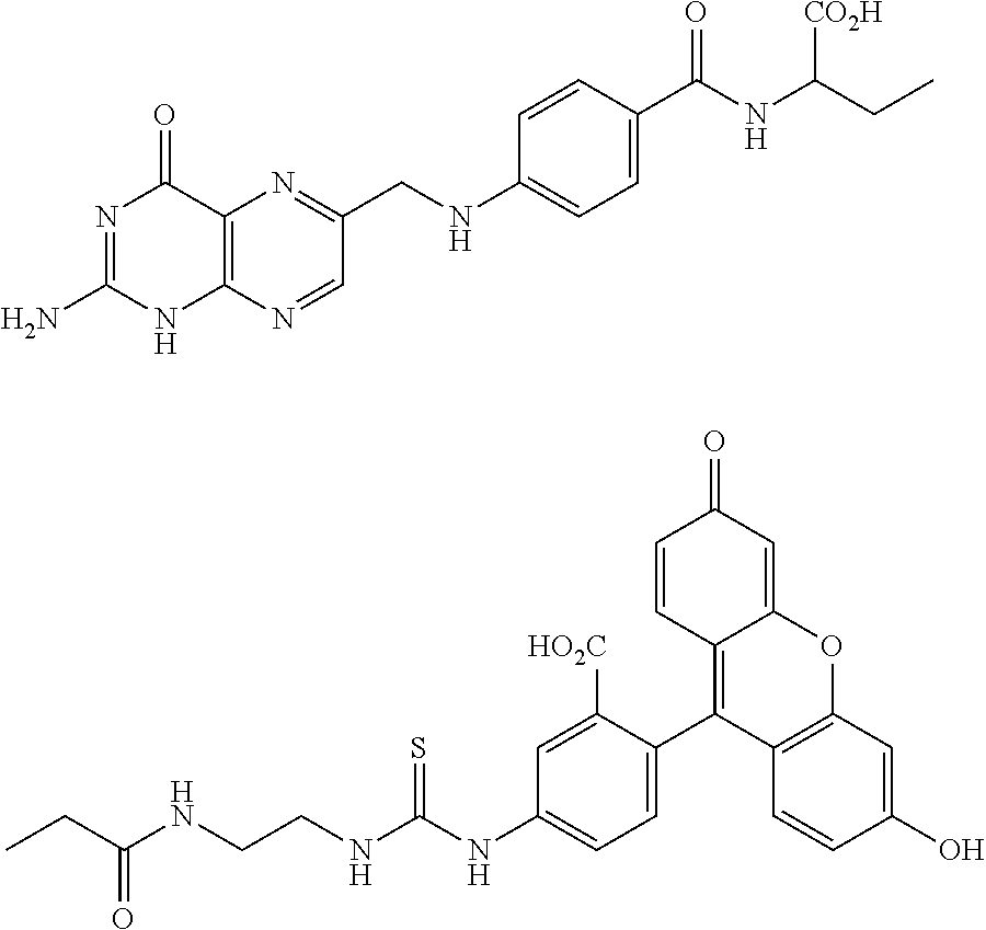
Diagnostic method for atherosclerosis
授权日
2014-08-19
公开(公告)号
US8808998
申请日
2012-12-14
公开(公告)日
2014-08-19
当前申请(专利权)人
PURDUE RESEARCH FOUNDATION
发明人
LOW, PHILIP S.
简单同族
AT412897T | CA2527196A1 | CA2527196C | DE602004017452D1 | EP1629281A2 | EP1629281A4 | EP1629281B1 | ES2317010T3 | JP2006526642A | JP4680185B2 | US20050244336A1 | US20110189086A1 | US20130101519A1 | US7977058 | US8383354 | US8808998 | WO2004110250A2 | WO2004110250A3
简单同族成员数量
18
简单同族被引用专利总数
63
诉讼案件数
0
法律状态/事件
未缴年费
抱歉,您的浏览器不支持PDF预览,请点击链接下载PDF文件