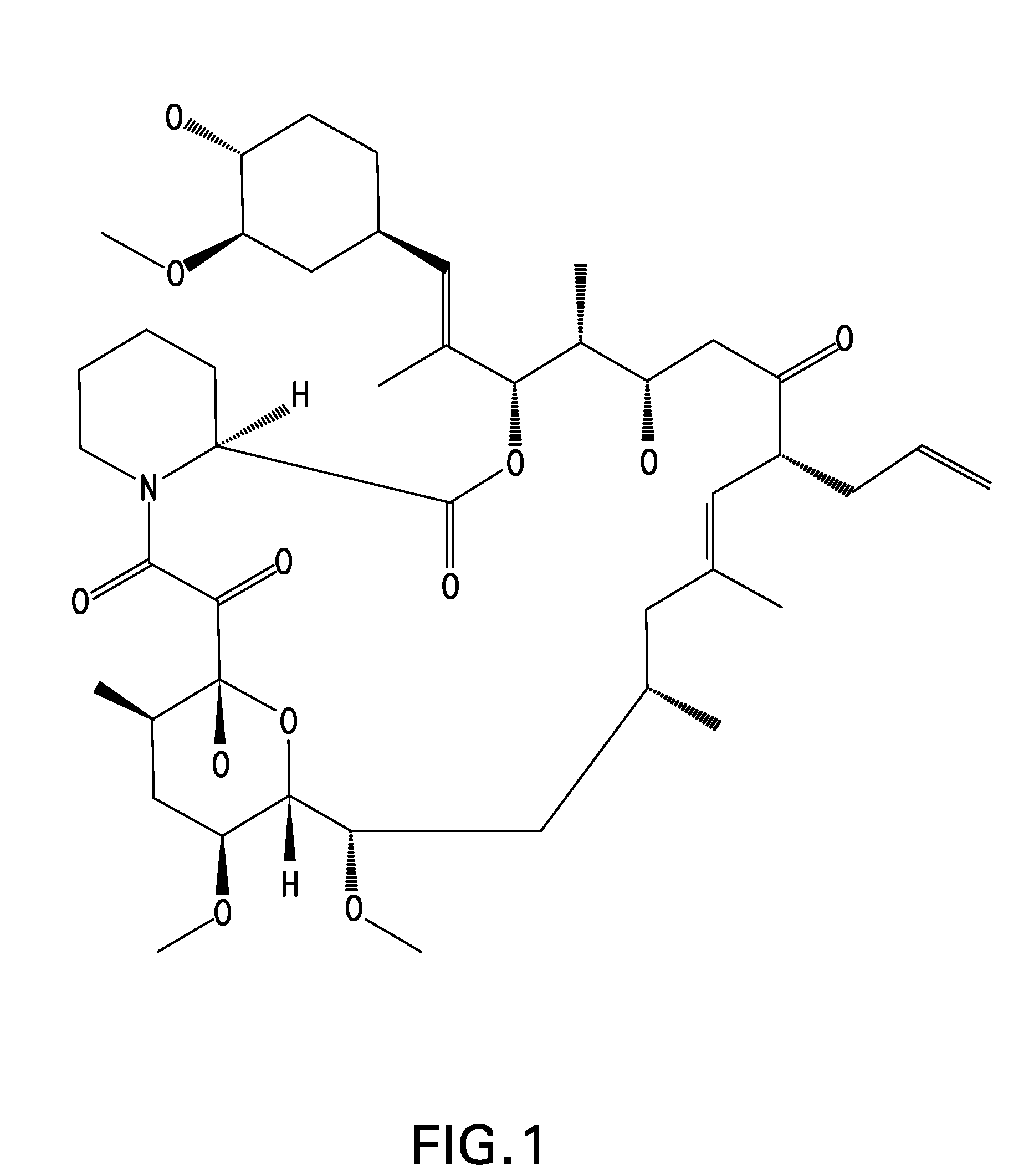
Immunoassays exhibiting reduced cross-reactivity with hydrophobic drug analyte metabolites
授权日
2012-10-16
公开(公告)号
US8288111
申请日
2008-05-23
公开(公告)日
2012-10-16
当前申请(专利权)人
ABBOTT LABORATORIES
发明人
BRATE, ELAINE M. | FINLEY, DAVID M. | HOLETS-MCCORMACK, SHELLEY R. | PACENTI, DAVID P. | PIKTEL, RYAN E. | SHIELDS, MICHELLE L. | SPRING, THOMAS G. | WANG, PHILLIP P.