专利数据库
统计分析
产业报告
专利数据监控
产业人才
行业动态
产业政策法规
维权援助
个人中心
详情
文本
图像
标题
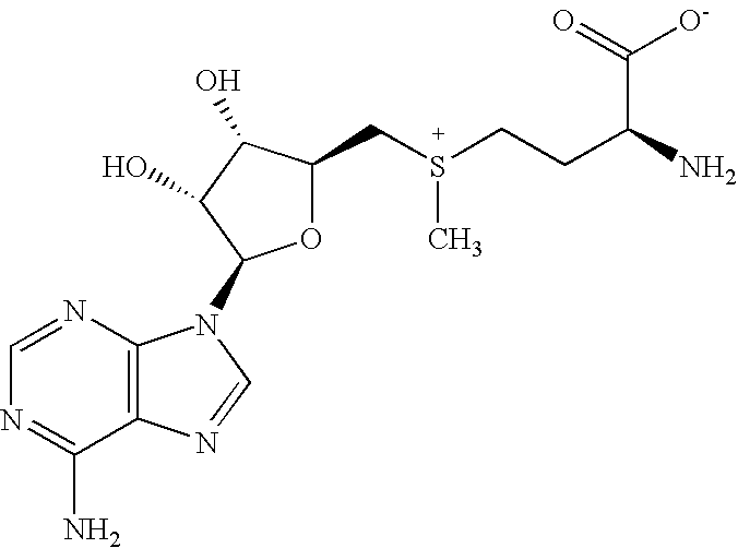
Immunoassay for specific determination of S-adenosylmethionine and analogs thereof in biological samples
授权日
2013-01-01
公开(公告)号
US8344115
申请日
2009-04-17
公开(公告)日
2013-01-01
当前申请(专利权)人
HUNAN SKYWORLD BIOTECHNOLOGIES CO. LTD.
发明人
CHANG, CHIU CHIN | PANG, LEGAL REPRESENTATIVE, CHAN-SUI
简单同族
US20090263879A1 | US8344115 | WO2009131643A1
简单同族成员数量
3
简单同族被引用专利总数
33
诉讼案件数
0
法律状态/事件
授权 | 权利转移
抱歉,您的浏览器不支持PDF预览,请点击链接下载PDF文件