专利数据库
统计分析
产业报告
专利数据监控
产业人才
行业动态
产业政策法规
维权援助
个人中心
详情
文本
图像
标题
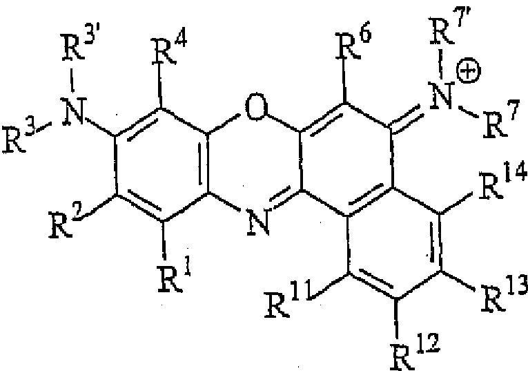
スルホン化[8,9]ベンゾフェノキサジン色素およびそれらの標識結合体の使用
授权日
1900-01-01
公开(公告)号
JP2003531946A
申请日
2001-05-01
公开(公告)日
2003-10-28
当前申请(专利权)人
アプレラ コーポレイション
发明人
ヤン, ションウェイ | ユアン, パウ ミャウ
简单同族
AT417897T | AU2001259351A1 | AU2001259351B2 | CA2407726A1 | CA2407726C | DE60137032D1 | EP1278803A2 | EP1278803B1 | JP2003531946A | US20030158407A1 | US20090004653A1 | US6465644 | US7238789 | US8003767 | WO2001083621A2 | WO2001083621A3
简单同族成员数量
16
简单同族被引用专利总数
49
诉讼案件数
0
法律状态/事件
驳回 | 权利转移
抱歉,您的浏览器不支持PDF预览,请点击链接下载PDF文件