专利数据库
统计分析
产业报告
专利数据监控
产业人才
行业动态
产业政策法规
维权援助
个人中心
详情
文本
图像
标题
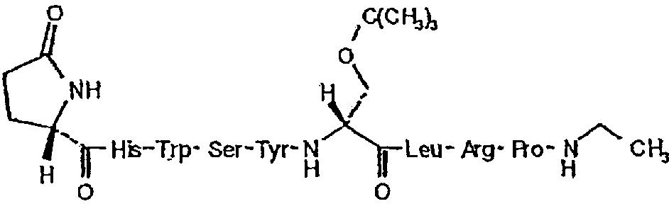
強酸との生理学的に許容しうる付加塩の形態の、N末端にグルタミン酸またはグルタミンを含む薬剤として有用な分子
授权日
1900-01-01
公开(公告)号
JP2003528112A
申请日
2001-03-22
公开(公告)日
2003-09-24
当前申请(专利权)人
ピエール、ファーブル、メディカマン
发明人
クランゲール-アムール、クリスティーヌ | コルベア、ナタリー | ベック、アラン | ゲトシュ、リリアン
简单同族
AU2001246623A1 | BRPI0109502A2 | CA2403803A1 | CN1449407A | EP1305332A2 | FR2806727A1 | JP2003528112A | MXPA02009359A | US20030175285A1 | WO2001070772A2 | WO2001070772A3 | ZA200207632B
简单同族成员数量
12
简单同族被引用专利总数
45
诉讼案件数
0
法律状态/事件
撤回
抱歉,您的浏览器不支持PDF预览,请点击链接下载PDF文件