专利数据库
统计分析
产业报告
专利数据监控
产业人才
行业动态
产业政策法规
维权援助
个人中心
详情
文本
图像
标题
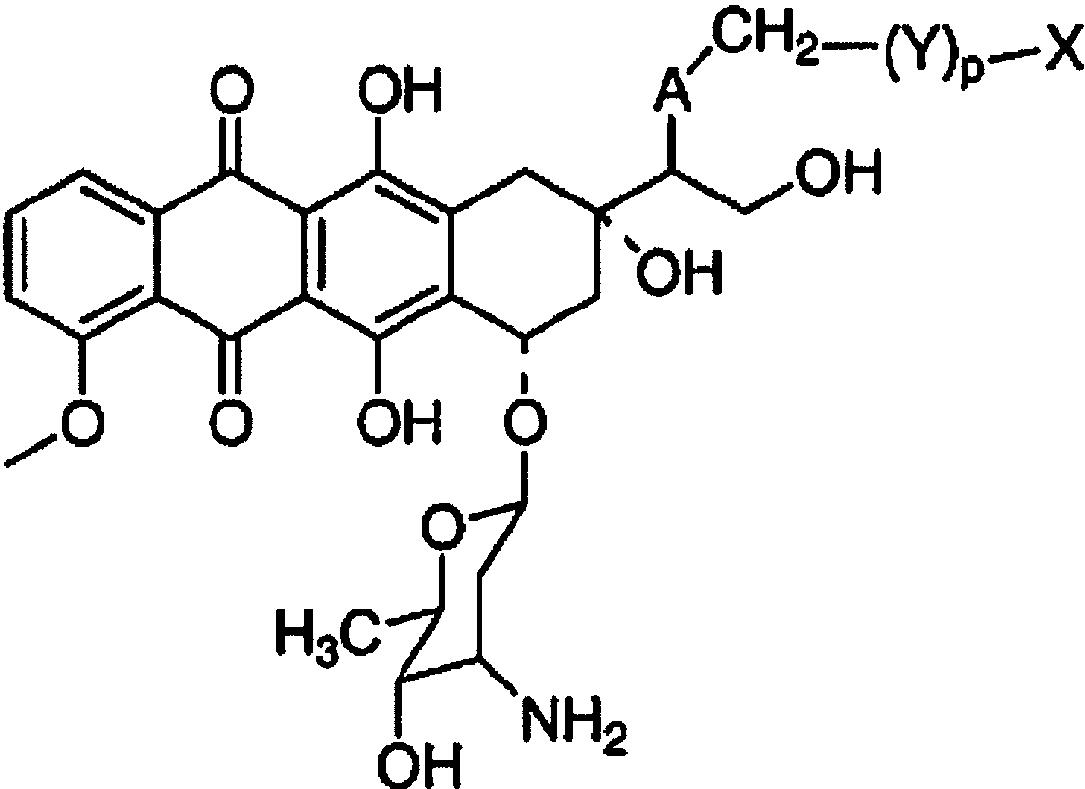
ドキソルビシン免疫測定法
授权日
2012-01-06
公开(公告)号
JP4896959B2
申请日
2006-03-27
公开(公告)日
2012-03-14
当前申请(专利权)人
サラダックス バイオメディカル インク.
发明人
サラモネ サルヴァトーレ | コートニー ジョディ ブレーク | へ シュウ
简单同族
AT476655T | CA2602849A1 | CA2602849C | DE602006015929D1 | DK1864129T3 | EP1864129A1 | EP1864129A4 | EP1864129B1 | EP2239573A2 | EP2239573A3 | ES2353212T3 | JP2008537110A | JP2008537110A5 | JP4896959B2 | US20060223134A1 | US20090215078A1 | US20090215082A1 | US20120015385A1 | US20120214184A1 | US7569358 | US8053205 | US8084586 | WO2006104970A1
简单同族成员数量
23
简单同族被引用专利总数
54
诉讼案件数
0
法律状态/事件
未缴年费
抱歉,您的浏览器不支持PDF预览,请点击链接下载PDF文件