专利数据库
统计分析
产业报告
专利数据监控
产业人才
行业动态
产业政策法规
维权援助
个人中心
详情
文本
图像
标题
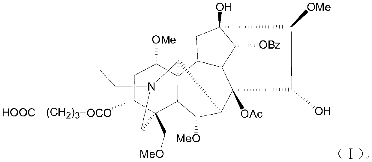
半抗原化合物及其多抗、试剂盒与应用
授权日
2018-03-02
公开(公告)号
CN105272915B
申请日
2014-07-14
公开(公告)日
2018-03-02
当前申请(专利权)人
上海医药工业研究院 | 中国医药工业研究总院
发明人
华茉莉 | 许玉 | 黄磊 | 徐云辉 | 袁帅
简单同族
CN105272915A | CN105272915B
简单同族成员数量
2
简单同族被引用专利总数
0
诉讼案件数
0
法律状态/事件
授权
抱歉,您的浏览器不支持PDF预览,请点击链接下载PDF文件