专利数据库
统计分析
产业报告
专利数据监控
产业人才
行业动态
产业政策法规
维权援助
个人中心
详情
文本
图像
标题
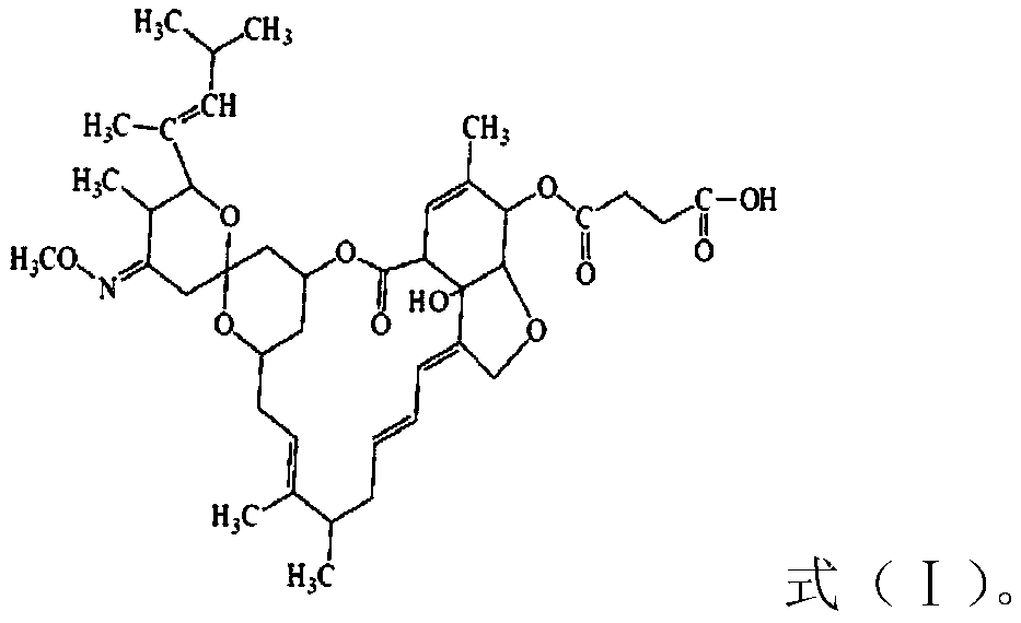
一种用于检测莫西菌素的多克隆抗体及其制备方法和应用
授权日
2019-08-09
公开(公告)号
CN107082784B
申请日
2017-04-10
公开(公告)日
2019-08-09
当前申请(专利权)人
中国农业大学
发明人
王战辉 | 沈建忠 | 李红芳 | 张素霞 | 史为民 | 温凯 | 杨慧娟
简单同族
CN107082784A | CN107082784B
简单同族成员数量
2
简单同族被引用专利总数
0
诉讼案件数
0
法律状态/事件
授权
抱歉,您的浏览器不支持PDF预览,请点击链接下载PDF文件