专利数据库
统计分析
产业报告
专利数据监控
产业人才
行业动态
产业政策法规
维权援助
个人中心
详情
文本
图像
标题
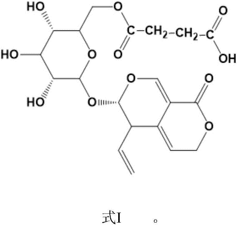
龙胆苦苷的人工抗原制备及间接竞争ELISA检测的建立方法
授权日
1900-01-01
公开(公告)号
CN107253989A
申请日
2017-05-26
公开(公告)日
2017-10-17
当前申请(专利权)人
陕西科技大学
发明人
钱卫东 | 刘婵婵 | 王婷 | 吴启航 | 曾桥
简单同族
CN107253989A | CN107253989B
简单同族成员数量
2
简单同族被引用专利总数
0
诉讼案件数
0
法律状态/事件
授权
抱歉,您的浏览器不支持PDF预览,请点击链接下载PDF文件