专利数据库
统计分析
产业报告
专利数据监控
产业人才
行业动态
产业政策法规
维权援助
个人中心
详情
文本
图像
标题
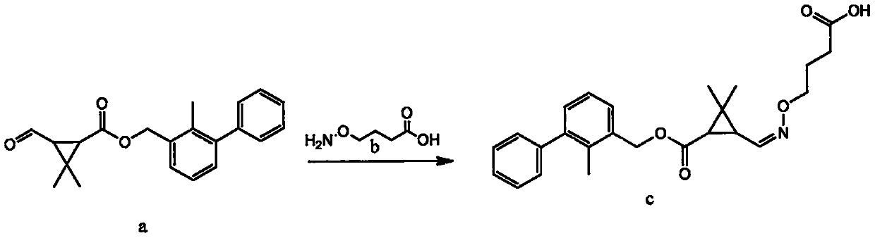
一种检测联苯菊酯的试纸条及其应用
授权日
1900-01-01
公开(公告)号
CN110850090A
申请日
2019-10-25
公开(公告)日
2020-02-28
当前申请(专利权)人
成都市房屋安全事务中心
发明人
张亮 | 贾慧娴 | 熊先贵 | 彭凯俊 | 万宇平 | 王思忠 | 曾小虎 | 崔海峰 | 崔娜
简单同族
CN110850090A
简单同族成员数量
1
简单同族被引用专利总数
0
诉讼案件数
0
法律状态/事件
公开
抱歉,您的浏览器不支持PDF预览,请点击链接下载PDF文件