专利数据库
统计分析
产业报告
专利数据监控
产业人才
行业动态
产业政策法规
维权援助
个人中心
详情
文本
图像
标题
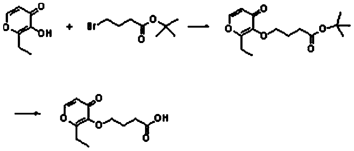
一种乙基麦芽酚半抗原以及乙基麦芽酚的胶体金免疫层析检测装置
授权日
1900-01-01
公开(公告)号
CN110441512A
申请日
2019-07-23
公开(公告)日
2019-11-12
当前申请(专利权)人
重庆市食品药品检验检测研究院 | 深圳市易瑞生物技术股份有限公司
发明人
毛庆 | 许晶冰 | 杨星星 | 王炳志 | 白亚敏 | 蔡灵利
简单同族
CN110441512A
简单同族成员数量
1
简单同族被引用专利总数
0
诉讼案件数
0
法律状态/事件
实质审查
抱歉,您的浏览器不支持PDF预览,请点击链接下载PDF文件