专利数据库
统计分析
产业报告
专利数据监控
产业人才
行业动态
产业政策法规
维权援助
个人中心
详情
文本
图像
标题
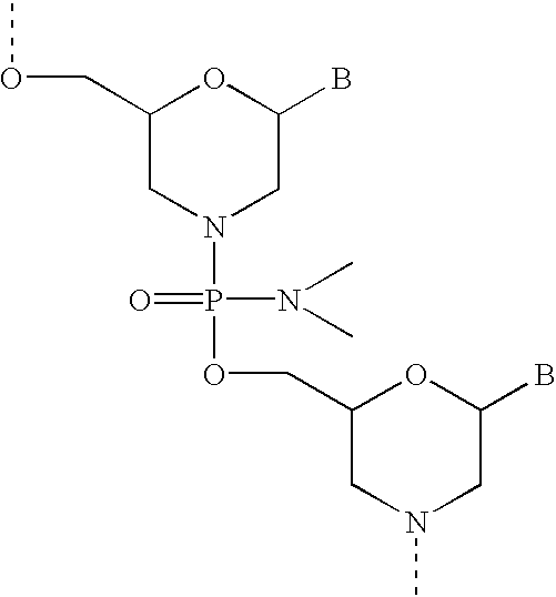
Morpholino imaging and therapy
授权日
1900-01-01
公开(公告)号
US20030003102A1
申请日
2002-04-01
公开(公告)日
2003-01-02
当前申请(专利权)人
UNIVERSITY OF MASSACHUSETTS
发明人
HNATOWICH, DONALD J. | RUSCKOWSKI, MARY | LIU, GUOZHENG
简单同族
AT335515T | AU2002303181A1 | DE60213771D1 | DE60213771T2 | EP1372741A2 | EP1372741A4 | EP1372741B1 | US20030003102A1 | US6899864 | WO2002078638A2 | WO2002078638A3
简单同族成员数量
11
简单同族被引用专利总数
92
诉讼案件数
0
法律状态/事件
授权 | 许可 | 权利转移
抱歉,您的浏览器不支持PDF预览,请点击链接下载PDF文件