专利数据库
统计分析
产业报告
专利数据监控
产业人才
行业动态
产业政策法规
维权援助
个人中心
详情
文本
图像
标题
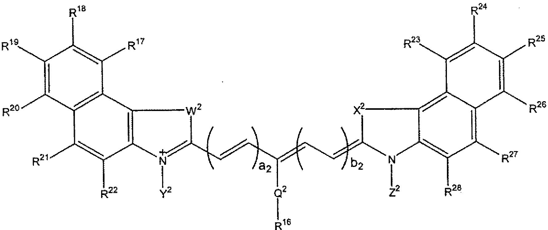
新規のインドシアニン染料
授权日
1900-01-01
公开(公告)号
JP2003523371A
申请日
2001-01-17
公开(公告)日
2003-08-05
当前申请(专利权)人
マリンクロッド·インコーポレイテッド
发明人
サミュエル·アイ·アチレフ | ラガバン·ラジャゴパラン | リチャード·ビー·ドーショー | ジョゼフ·イー·ブガジュ
简单同族
AT291879T | AU2001232820A1 | DE60109741D1 | DE60109741T2 | DE60109741T8 | EP1250093A1 | EP1250093A4 | EP1250093B1 | EP1561425A1 | ES2239123T3 | JP2003523371A | JP2003523371A5 | US6190641 | US6264919 | WO2001062156A1
简单同族成员数量
15
简单同族被引用专利总数
74
诉讼案件数
0
法律状态/事件
驳回
抱歉,您的浏览器不支持PDF预览,请点击链接下载PDF文件