专利数据库
统计分析
产业报告
专利数据监控
产业人才
行业动态
产业政策法规
维权援助
个人中心
详情
文本
图像
标题
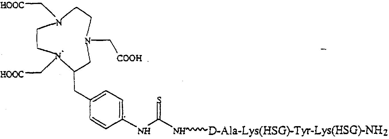
二重特異性抗体とともに使用される新規なペプチド型薬剤の製造および使用
授权日
1900-01-01
公开(公告)号
JP2009022273A
申请日
2008-06-18
公开(公告)日
2009-02-05
当前申请(专利权)人
イミューノメディクス、インコーポレイテッド
发明人
ハンセン,ハンス·ジェイ | グリフィス,ゲイリー·エル | リュン,シュイ‐オン | マクブライド,ウィリアム·ジェイ | クー,ツェンシン | ゴールデンバーグ,デイヴィッド·エム
简单同族
AU2002256025A1 | AU2002256025B2 | AU2008201428A1 | AU2008201428B2 | AU2010257348A1 | AU2010257348B2 | CA2442839A1 | CA2442839C | EP1372718A2 | EP1372718A4 | EP1372718B1 | EP2301581A1 | JP2005503768A | JP2005503768A5 | JP2009022273A | JP2010209098A | JP4538062B2 | JP4963512B2 | US20020006379A1 | US20060104899A1 | US20080293921A1 | US20090246131A1 | US20100136626A1 | US20100158803A1 | US6962702 | US7429381 | US7563439 | US7666415 | US7943343 | WO2002082041A2 | WO2002082041A3
简单同族成员数量
31
简单同族被引用专利总数
371
诉讼案件数
0
法律状态/事件
未缴年费
抱歉,您的浏览器不支持PDF预览,请点击链接下载PDF文件