专利数据库
统计分析
产业报告
专利数据监控
产业人才
行业动态
产业政策法规
维权援助
个人中心
详情
文本
图像
标题
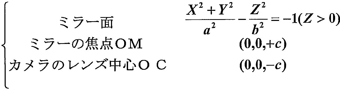
内視鏡アタッチメントおよび内視鏡
授权日
2011-07-15
公开(公告)号
JP4779120B2
申请日
2005-07-04
公开(公告)日
2011-09-28
当前申请(专利权)人
国立大学法人大阪大学
发明人
八木 康史 | 越後 富夫 | 佐川 立昌
简单同族
EP1769718A1 | EP1769718A4 | EP1769718B1 | JP4779120B2 | JPWO2006004083A1 | US20080045797A1 | US7922655 | WO2006004083A1
简单同族成员数量
8
简单同族被引用专利总数
149
诉讼案件数
0
法律状态/事件
授权
抱歉,您的浏览器不支持PDF预览,请点击链接下载PDF文件