专利数据库
统计分析
产业报告
专利数据监控
产业人才
行业动态
产业政策法规
维权援助
个人中心
详情
文本
图像
标题
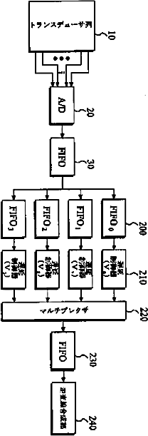
超音波撮像システム、受信集束及び送信集束装置、並びにその方法
授权日
1900-01-01
公开(公告)号
JP2002209887A
申请日
2002-01-10
公开(公告)日
2002-07-30
当前申请(专利权)人
株式会社 メディソン
发明人
ベ ム ホ | ホン ゼ ボム
简单同族
DE60210352D1 | DE60210352T2 | EP1225566A2 | EP1225566A3 | EP1225566B1 | JP2002209887A | JP3939153B2 | US20020121142A1 | US6719695
简单同族成员数量
9
简单同族被引用专利总数
19
诉讼案件数
0
法律状态/事件
授权
抱歉,您的浏览器不支持PDF预览,请点击链接下载PDF文件