专利数据库
统计分析
产业报告
专利数据监控
产业人才
行业动态
产业政策法规
维权援助
个人中心
详情
文本
图像
标题
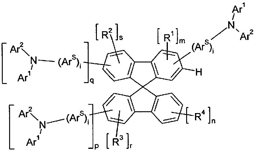
발명의 명칭 유기 전계발광 소자용 스피로비플루오렌 화합물
授权日
1900-01-01
公开(公告)号
KR1020140133572A
申请日
2013-01-21
公开(公告)日
2014-11-19
当前申请(专利权)人
메르크 파텐트 게엠베하
发明人
몬테네그로엘비라 | 파르함아미르호싸인 | 슈퇴쎌필립 | 뮤히카 페르나우드테레사 | 포게스프랑크 | 뷔징아르네
简单同族
CN104114672A | CN104114672B | CN105218302A | CN105218302B | EP2814906A1 | EP2814906B1 | EP3101088A1 | EP3101088B1 | EP3235892A1 | EP3235892B1 | JP2015513530A | JP2018070617A | JP2018070618A | JP6242817B2 | JP6640173B2 | JP6700235B2 | KR101605987B1 | KR1020140133572A | KR102015765B1 | KR1020160035610A | KR1020160035611A | KR102045198B1 | TW201339123A | TW201733974A | TW201733975A | TWI593662B | TWI635069B | US20150065730A1 | US20180019405A1 | US20200006665A1 | US9812648 | WO2013120577A1
简单同族成员数量
32
简单同族被引用专利总数
329
诉讼案件数
0
法律状态/事件
授权 | 复审
抱歉,您的浏览器不支持PDF预览,请点击链接下载PDF文件