专利数据库
统计分析
产业报告
专利数据监控
产业人才
行业动态
产业政策法规
维权援助
个人中心
详情
文本
图像
标题
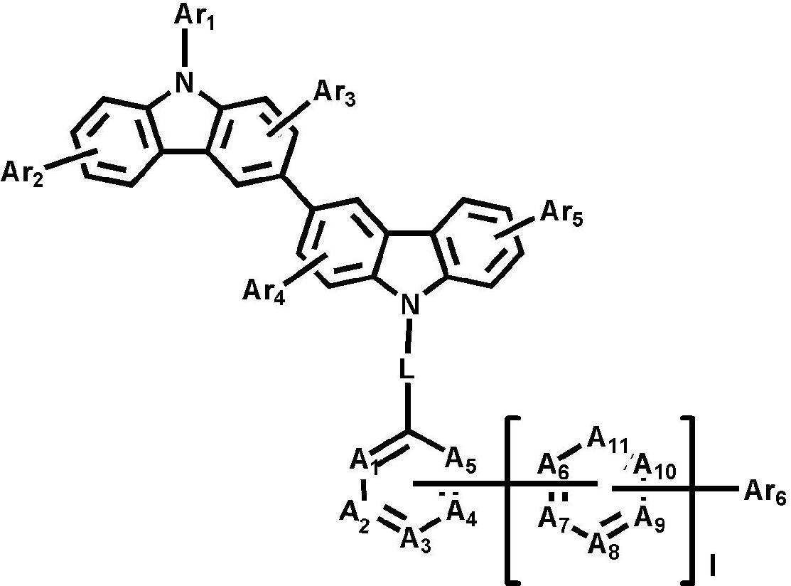
발명의 명칭 신규한 유기 발광 화합물 및 이를 채용하고 있는 유기 전계 발광 소자
授权日
2014-12-24
公开(公告)号
KR101478000B1
申请日
2011-12-15
公开(公告)日
2015-01-05
当前申请(专利权)人
롬엔드하스전자재료코리아유한회사
发明人
이수현 | 황수진 | 이선우 | 문두현 | 이효정 | 양수진 | 박경진 | 김치식 | 조영준 | 권혁주 | 이경주 | 김봉옥
简单同族
CN103384712A | CN103384712B | EP2640806A1 | EP2640806A4 | JP2014505678A | KR101478000B1 | KR1020120070507A | TW201231617A | US20140084271A1 | WO2012087007A1
简单同族成员数量
10
简单同族被引用专利总数
53
诉讼案件数
0
法律状态/事件
授权
抱歉,您的浏览器不支持PDF预览,请点击链接下载PDF文件