专利数据库
统计分析
产业报告
专利数据监控
产业人才
行业动态
产业政策法规
维权援助
个人中心
详情
文本
图像
标题
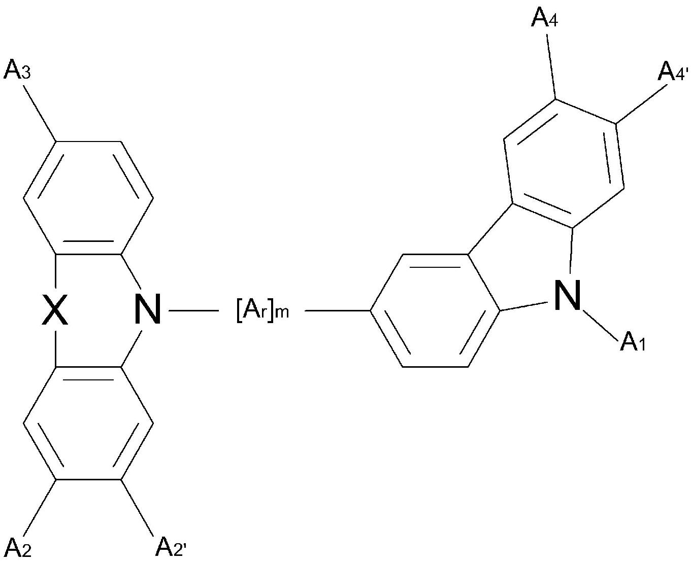
유기 광소자 및 이를 위한 유기 광합물
授权日
1900-01-01
公开(公告)号
KR1020110079402A
申请日
2010-01-11
公开(公告)日
2011-07-07
当前申请(专利权)人
주식회사 엠비케이
发明人
김복영 | 안중복 | 이재성 | 진성민 | 강지승 | 안도환 | 박노길 | 한근희 | 시상만 | 이대균
简单同族
KR101324788B1 | KR1020110079402A | KR1020120013278A
简单同族成员数量
3
简单同族被引用专利总数
69
诉讼案件数
0
法律状态/事件
授权
抱歉,您的浏览器不支持PDF预览,请点击链接下载PDF文件