专利数据库
统计分析
产业报告
专利数据监控
产业人才
行业动态
产业政策法规
维权援助
个人中心
详情
文本
图像
标题
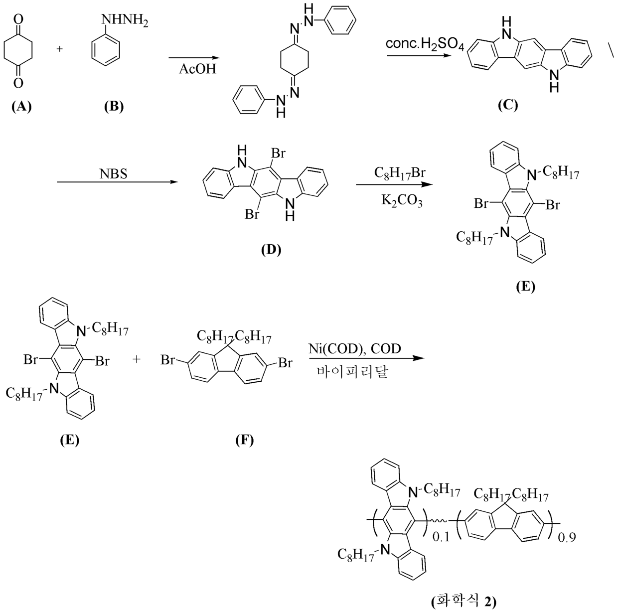
청색 발광 고분자 및 이를 채용한 유기 전계 발광 소자
授权日
2007-03-08
公开(公告)号
KR100695106B1
申请日
2002-12-24
公开(公告)日
2007-03-14
当前申请(专利权)人
삼성에스디아이 주식회사
发明人
손병희 | 박상훈 | 이수형 | 송인성 | 손준모 | 백운중
简单同族
CN100539234C | CN1551694A | JP2004204234A | JP4019042B2 | KR100695106B1 | KR1020040056662A | US20040137271A1 | US7172823
简单同族成员数量
8
简单同族被引用专利总数
117
诉讼案件数
0
法律状态/事件
授权 | 权利转移
抱歉,您的浏览器不支持PDF预览,请点击链接下载PDF文件