专利数据库
统计分析
产业报告
专利数据监控
产业人才
行业动态
产业政策法规
维权援助
个人中心
详情
文本
图像
标题
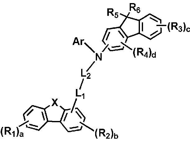
신규한 유기 발광 화합물 및 이를 포함하는 유기 전계 발광 소자
授权日
1900-01-01
公开(公告)号
KR1020120011445A
申请日
2010-07-29
公开(公告)日
2012-02-08
当前申请(专利权)人
롬엔드하스전자재료코리아유한회사
发明人
이수용 | 조영준 | 김봉옥 | 김성민
简单同族
CN103298800A | JP2013539205A | KR1020120011445A | TW201213501A | WO2012015265A1
简单同族成员数量
5
简单同族被引用专利总数
83
诉讼案件数
0
法律状态/事件
驳回
抱歉,您的浏览器不支持PDF预览,请点击链接下载PDF文件